Przejdź do treści
Brak wyników
Strona główna
O szkole
Dokumenty
Dokumenty do pobrania
Dokumenty Szkolne
Dokumenty ucznia
Regulaminy Covid
RADA RODZICÓW
SAMORZĄD UCZNIOWSKI
UBEZPIECZENIE
E-dziennik
RODO
Deklaracja dostępności
Kontakt
Uczniowie i rodzice
Konkursy 2023/2024
Konkursy kuratoryjne
Olimpiada Języka Angielskiego Aim High
Wolontariat – Pomaganie jest fajne
Egzamin ósmoklasisty
KARTA ROWEROWA
Świetlica
BIBLIOTEKA
O nas
List do Rodziców
Godziny otwarcia
Biblioteczka dla rodzica
Z życia biblioteki
SPECJALIŚCI – DORADZTWO ZAWODOWE
Kalendarz Roku szkolnego 2022/2023
żywienie – Jadłospis
Rekrutacja
Rekrutacja do szkół ponadpodstawowych
Z życia szkoły
Lista galerii
20-lecie szkoły
Dzieje się w szesnastce
Przerwa na czytanie – rekord!
BohaterON
12.10.2023
18.11.2023 Halowy turniej piłki nożnej dziewcząt
16 .11.2023 Tenis stołowy
12.10.2023 Zawody pływackie
4_5.10.2023 WOM Piłka nożna dziewcząt
mPotęga
Mobius
Tangram
Teselacje
Heksafleksagon
Objętość
Bryły
Święto Matematyki
Lubimy uczyć
eTwinning
Szkoła Podstawowa nr 16 im. Tony Halika w Warszawie
Szkoła Podstawowa nr 16 im. Tony Halika w Warszawie
Strona główna
O szkole
Dokumenty
Dokumenty do pobrania
Dokumenty Szkolne
Dokumenty ucznia
Regulaminy Covid
Rada Rodziców
Samorząd Uczniowski
Ubezpieczenie
E-dziennik
RODO
Deklaracja dostępności
Kontakt
Uczniowie i rodzice
Konkursy 2025/2026
Konkursy w SP 16
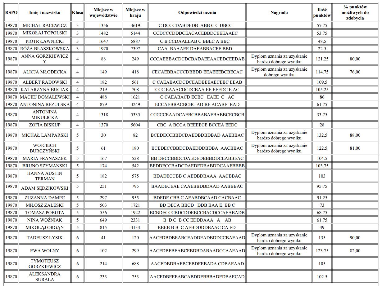
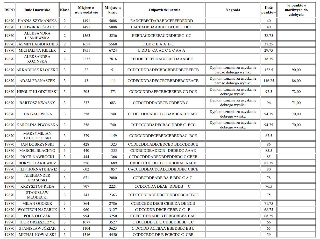
Wyniki – Alfik Matematyczny – 2024
Kangur Matematyczny
Konkursy kuratoryjne
Olimpiada Języka Angielskiego Aim High
Egzamin ósmoklasisty
Wolontariat – Pomaganie jest fajne
Karta rowerowa
Świetlica
Biblioteka
O nas
List do Rodziców
Godziny otwarcia
Biblioteczka dla rodzica
Z życia biblioteki
Specjaliści/Doradztwo zawodowe
żywienie – Jadłospis
Rekrutacja
Rekrutacja do szkoły podstawowej
Rekrutacja do szkół ponadpodstawowych
z życia szkoły
Galerie zdjęć
Dzieje się w szesnastce
Przerwa na czytanie – rekord!
SAMORZĄD UCZNIOWSKI
BohaterON
lubimy uczyć
eTwinning
Sportowa Szesnastka
mPotęga
jakość powietrza
Szukaj
Menu
Wyniki – Alfik Matematyczny – 2024
Skip to content
Open toolbar
Accessibility Tools
Accessibility Tools
Increase Text
Increase Text
Decrease Text
Decrease Text
Grayscale
Grayscale
High Contrast
High Contrast
Negative Contrast
Negative Contrast
Light Background
Light Background
Links Underline
Links Underline
Readable Font
Readable Font
Reset
Reset